Prologue Magazine

Tales of Escape and Evasion

Winter 2010, Vol. 42, No. 4 | Pieces of History

 

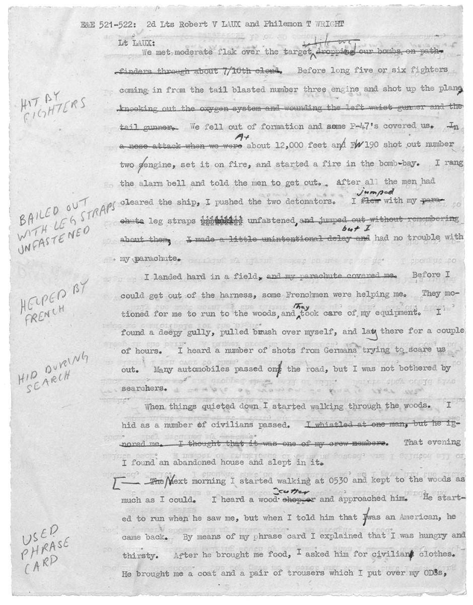
refer to caption

Excerpt from 2nd Lt. Robert B. Laux’s Escape and Evasion Report.

Have you ever watched a movie and thought, “How do they come up with this stuff? That could never happen.” Well, even Hollywood could take a lesson from the files of the National Archives. Our online Archival Research Catalog recently added nearly 3,000 World War II Escape and Evasion Reports, and they are full of amazing but true stories.

When an American soldier returned to Allied territory from behind enemy lines in Europe, Military Intelligence interviewed him to collect data on escape and evasion activities in the European Theater of Operations. Most of the reports concern bomber crews or fighter pilots downed over German-occupied territory.

Choosing from almost any file will yield a remarkable story.

Second Lt. Robert Laux was piloting his bomber back to England on February 11, 1944, after a raid over Frankfurt when German fighters attacked. After seeing that his crew bailed out, Laux jumped and landed in northern France, near Amiens.

On his second day, the downed pilot had a close call. Wearing civilian clothes given him by a French woodcutter, he was stopped on a road by a German motorcyclist. Laux reported that the German “stopped, raised his hand, and shouted ‘Halt!’ I thought he was saluting me, so I gave him the Hitler salute back. A number of truckloads of Germans passed, and I saluted all of them. They returned my salute.”

The next day, as he was looking at road signs at a crossroads, “a German staff car full of heavily armed MP’s pulled up. I was still carrying my flight jacket to use at night. I thought to myself, ‘Here goes,’ and walked right on. A German got out of the car, motioned to me to come over, and said in French something I did not understand. I looked dumb. He repeated slowly with gestures asking whether to go this way or that. I pointed down the road and the car drove off.” After this lucky break, a woman at the next house took him in, and the rest of his journey back to England was arranged.

 

Articles published in Prologue do not necessarily represent the views of NARA or of any other agency of the United States Government.
Top